Aufgabe:
Ich würde gerne wissen wie man das Kreuzprodukt zweier Vektoren in Kugelkoordinaten berechnet.
Problem/Ansatz:
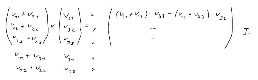
Kann ich dann einfach $$ A_1 \times B_1 = (A_1\vec{e_r}+A_2\vec{e_{\vartheta}}+A_3\vec{e_{\varphi}}) \cdot(B_1\vec{e_r}+B_2\vec{e_{\vartheta}}+B_3\vec{e_{\varphi}})= (A1\cdot B_2)e_{\varphi} ... $$
wie in dem Beispiel hier einfach die beiden Vektoren ausschreiben, nach dem Distributivgesetz ausrechnen und damit hat man die Lösung ?
Ich denke auch ein wenig an die Rotation eines Vektorfelder am Ende jedoch habe ich es nicht mit partiellen Ableitungen zu tun.
Ansonsten würde ich wie oben beschrieben vorgehen doch mir missfällt die Idee, weil ich die so per se zb auf Wikipedia nicht finde, oder meine Suchanfrage ist nicht gut genug.
Hier ein kleiner Ausschnitt aus einer Aufgabe in der ich genau dies auszuführen habe. 